Metra PSP3 Bruksanvisning
Les nedenfor 📖 manual på norsk for Metra PSP3 (2 sider) i kategorien Subwoofer. Denne guiden var nyttig for 2 personer og ble vurdert med 3.7 stjerner i gjennomsnitt av 1.5 brukere
Side 1/2

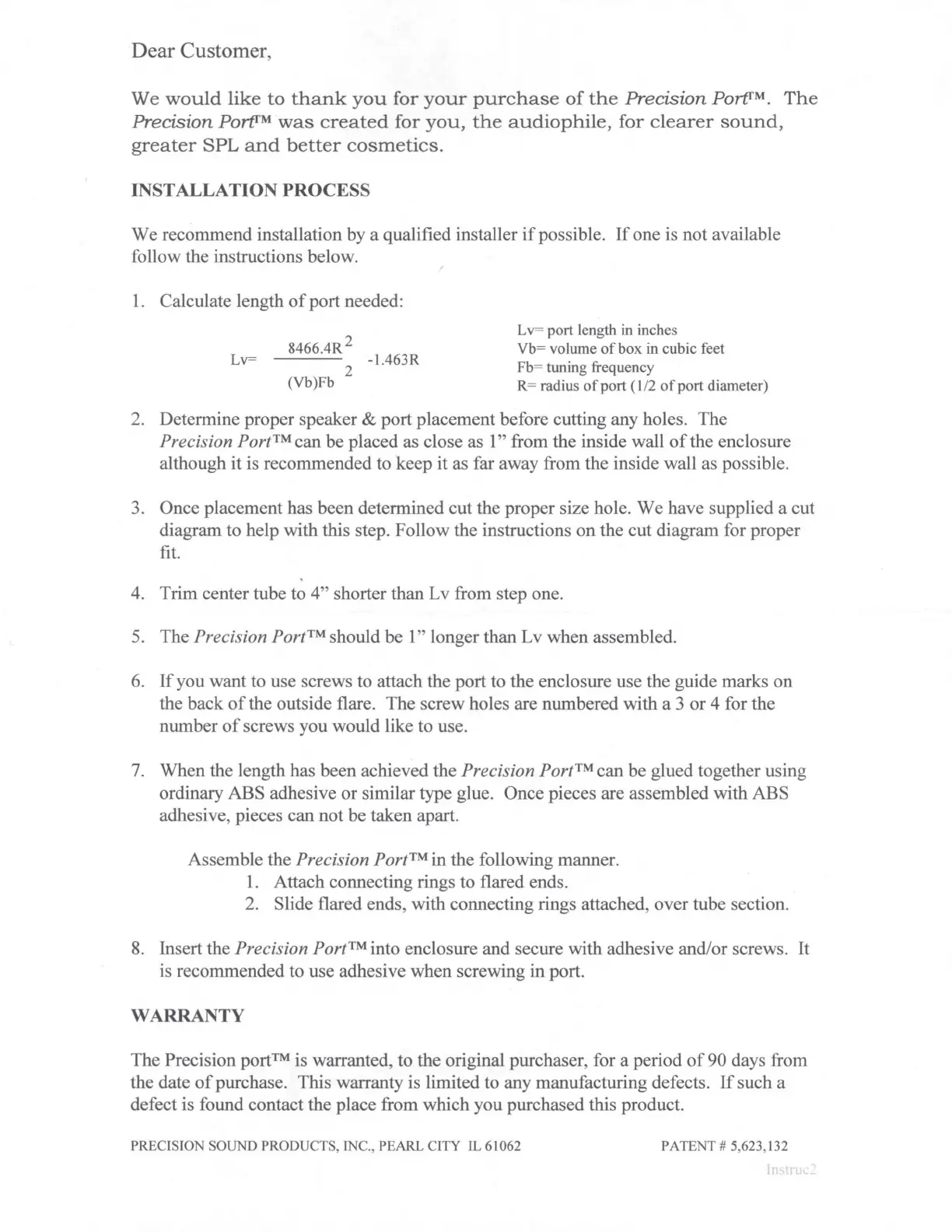
Dear Customer,
We
would
like
to
thank
you
for
your
purchase
of
the
Precision
PortrM.
The
Precision
PortrM
was
created
for
you,
the
audiophile,
for
clearer
sound,
greater
SPL
and
better
cosmetics.
INSTALLATION PROCESS
We recommend installation by a qualified installer
if
possible.
If
one is not available
follow the instructions below.
1.
Calculate length
of
port needed:
8466.4R
2
Lv= -1.463R
2
(Yb)Fb
Lv= port length
in
inches
Yb= volume
of
box in cubic feet
Fb= tuning frequency
R= radius
of
port
(1
/2
of
port diameter)
2.
Determine proper speaker & port placement before cutting any holes. The
Precision Port™ can be placed as close as 1" from the inside wall
of
the enclosure
although it is recommended to keep it as far away from the inside wall as possible.
3.
Once placement has been determined cut the proper size hole. We have supplied a cut
diagram to help with this step. Follow the instructions on the cut diagram for proper
fit.
4.
Trim center tube to
4"
shorter than Lv from step one.
5.
The Precision Port™ should be 1" longer than Lv when assembled.
6.
If
you want to use screws to attach the port to the enclosure use the guide marks on
the back
of
the outside flare. The screw holes are numbered with a 3 or 4 for the
number
of
screws you would like to use.
7.
When the length has been achieved the Precision Port™ can be glued together using
ordinary ABS adhesive or similar type glue. Once pieces are assembled with ABS
adhesive, pieces can not be taken apart.
Assemble the Precision Port™ in the following manner.
1.
Attach connecting rings to flared ends.
2.
Slide flared ends, with connecting rings attached, over tube section.
8.
Insert the Precision Port™ into enclosure and secure with adhesive and/or screws. It
is recommended to use adhesive when screwing in port.
WARRANTY
The Precision port™ is warranted, to the original purchaser, for a period
of
90 days from
the date
of
purchase. This warranty is limited to any manufacturing defects.
If
such a
defect is found contact the place from which you purchased this product.
PRECISION SOUND PRODUCTS, INC., PEARL CITY lL 61062 PATENT# 5,623,132

·
CUT
DIAGRAM
. . . . . . . .
..
PREClSJON
SOU.NO.PRODUCTS,
·
INC.;
·
.PE
-
ARl
CITY
:IL.61062
L Cutout :
th~
gray
are~ -
~d
·the
tw-o
sm.all
·slots
·o
n either
··
side.
2: Attach -
this
:template ·
to
the .
.
ar~a
on
your
~n~¥>sun'~
·
where:
you
want
the
port
to
: ~e ~stalfed .
.
3,
Trace·around
tndnstde
-
~f
~e-
~empl21tt;i
_
..
.i(
Cut·
.
ar~~<:Lthe
insid~
edge
· ofth~
-0f:l;h1e)i~es
y~u:
11'.a~e~
5
..
R.l;ltumfo
step 3
of
the-
.
in~ta,lta1;:iqn
prete~s
http://www.psp-inc.com/psp-inc.com/public_html/files/Instructi.ons/Drawing2.jpg
Produkspesifikasjoner
Merke: | Metra |
Kategori: | Subwoofer |
Modell: | PSP3 |
Trenger du hjelp?
Hvis du trenger hjelp med Metra PSP3 still et spørsmål nedenfor, og andre brukere vil svare deg
Subwoofer Metra Manualer
9 Oktober 2025
8 Oktober 2025
8 Oktober 2025
7 Oktober 2025
Subwoofer Manualer
- Nubert
- DB Technologies
- Audison
- Klipsch
- SoundTube
- OSD Audio
- Infinity
- Tivoli Audio
- On-Q
- Audio Pro
- Kicker
- Audibax
- Pyle
- AudioControl
- Extron
Nyeste Subwoofer Manualer
6 Oktober 2025
6 Oktober 2025
6 Oktober 2025
6 Oktober 2025
6 Oktober 2025
6 Oktober 2025
6 Oktober 2025
6 Oktober 2025
5 Oktober 2025
5 Oktober 2025