Sennheiser K6 Bruksanvisning
Les nedenfor 📖 manual på norsk for Sennheiser K6 (14 sider) i kategorien Mikrofon. Denne guiden var nyttig for 8 personer og ble vurdert med 4.6 stjerner i gjennomsnitt av 4.5 brukere
Side 1/14

K6
/
K6-CL
K6-P
/
K6-PC
SYSTEM K6
SYSTEM K6
SYSTEM K6
SYSTEM K6
SYSTEM K6
GEBRAUCHSANLEITUNG
INSTRUCTIONS FOR USE
NOTICE D‘EMPLOI
ISTRUZIONI PER L‘USO
INSTRUCCIONES PARA EL USO
GEBRUIKSAANWIJZING

2
+
Mit den Speiseadaptern K6 und K6P werden die aufschraubbaren Mikrofonmodule
des System K6 mit Strom versorgt und an die nachfolgenden Verstärker angepaßt.
Der Speiseadapter dient auch als Griffstück. Über die vielfältigen Kombina-
tionsmöglichkeiten des Systems K6 informiert die beiliegende Systemübersicht.
Ausführungen
K6 Speisedapter für Batterie- und Phantomspeisung.
Schaltbarer Tiefenfilter, Ein-/Ausschalter, Batterie-Test-LED.
K6 P Speisedapter für Anschluß an Phantomspeisung.
Schaltbarer Tiefenfilter, Ein-/Ausschalter.
...-C diese Speiseadapter werden ohne Zubehör geliefert
K6-CL Wie K6, aber mit geringerer Empfindlichkeit (-18 dB)
Batteriebetrieb ( K6 )
• Batterie einsetzen ( Mignon / LR 6, 1,5 V, Polarität beachten!) und
Mikrofonmodul aufschrauben.
• Einschalten, dabei Batterie-Test durchführen. Blitzt die LED hell auf,
ist die Batterieleistung ausreichend. Glimmt die LED nur schwach,
Batterie umgehend erneuern!
Unnötigen Stromverbrauch vermeiden - nach Gebrauch ausschalten.
•Bei Phantomspeisung wird automatisch der Batteriebetrieb ausgeschaltet.
Betrieb mit Phantomspeisung ( K6 P )
Der Speiseadapter K6P bezieht die Versorgung für die Mikrofonmodule nur
über die Anschlußleitung (Phantomspeisung).
Speiseadapter K6 / K6 P

4
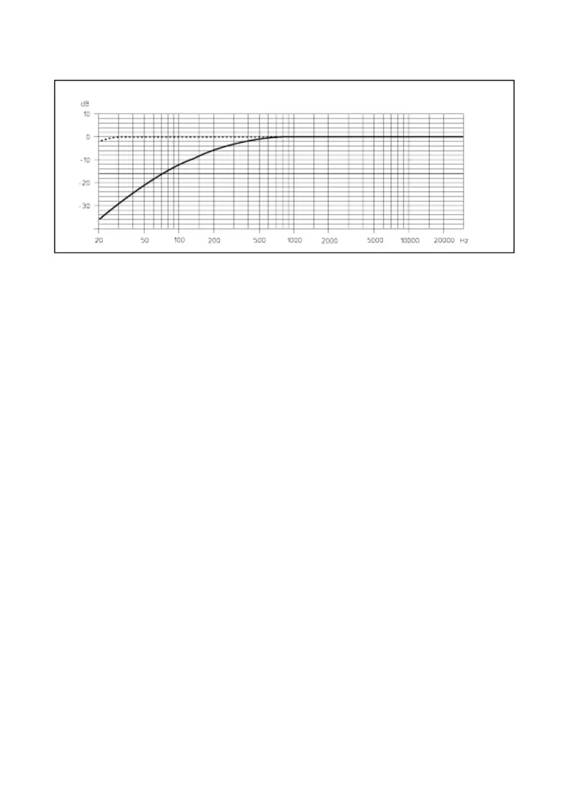
Trittschallfilter
Der Tiefenfilter unterdrückt optimal Störungen durch Körperschall,B
Trittschall, Windgeräusch und Popgeräusche.
Technische Daten K6 (k6P)
Elektrische Impedanz ca. 200 Ω sym, ca. 100 asym.Ω
Empfohlene Abschlußimpedanz > 1 kΩ
Übertragungsfaktor 0 dB (K6-CL –18 dB)
max. Leerlaufausgangsspannung 2 V (entspricht 6 dBV)
Ausgang symmetrisch transformatorlos
Phantomspeisestrom K6P 12 - 48 V DC, 2 mA
Betriebszeit mit einer Batterie max. 150 Stunden
Abmessungen in mm netto: 94 x Ø 22 (K6P: 55 x Ø 22) *
brutto: 155 x Ø 22 (K6P: 112 x Ø 22)
Gewicht (ohne Batterie) ca. 45g (K6P: 30g)
Stecker XLR-3
Lieferumfang K6 / K6P • Speiseadapter
• Stativklemme MZQ 200
Lieferumfang
K6-C / K6-CL / K6P-C • Speiseadapter
* Dieses Maß müssen sie zur Länge des entsprechenden Mikrofon-Modules
dazuzählen, um zur Gesamtlänge des enstandenen Mikrofones zu gelangen.
Wirkung des Tiefenfilters B:
Produkspesifikasjoner
Merke: | Sennheiser |
Kategori: | Mikrofon |
Modell: | K6 |
Trenger du hjelp?
Hvis du trenger hjelp med Sennheiser K6 still et spørsmål nedenfor, og andre brukere vil svare deg
Mikrofon Sennheiser Manualer
10 August 2025
6 August 2025
6 August 2025
6 August 2025
6 August 2025
6 August 2025
31 Desember 2025
31 Desember 2025
31 Desember 2025
31 Desember 2025
Mikrofon Manualer
- Artsound
- Fifine
- DAP Audio
- Comica
- MKC
- Alfatron
- Primus
- Sound Devices
- Cyber Acoustics
- K&M
- Samson
- Sontronics
- AmpliVox
- Lewitt
- Antelope
Nyeste Mikrofon Manualer
4 Oktober 2025
4 Oktober 2025
4 Oktober 2025
4 Oktober 2025
4 Oktober 2025
4 Oktober 2025
3 Oktober 2025
3 Oktober 2025
3 Oktober 2025
3 Oktober 2025